Cite this article as:

Chen-ming Fan, Shi-zhe Liu, Jing-jiu Gu, Shi-you Guan, Jin-hua Zhao, and Bing Li, Electrochemical investigation of the anode processes in LiF–NdF3 melt with low oxygen content, Int. J. Miner. Metall. Mater., 28(2021), No. 3, pp. 398-403. https://doi.org/10.1007/s12613-020-2010-7
Chen-ming Fan, Shi-zhe Liu, Jing-jiu Gu, Shi-you Guan, Jin-hua Zhao, and Bing Li, Electrochemical investigation of the anode processes in LiF–NdF3 melt with low oxygen content, Int. J. Miner. Metall. Mater., 28(2021), No. 3, pp. 398-403. https://doi.org/10.1007/s12613-020-2010-7
引用本文 PDF XML SpringerLink

低氧LiF–NdF3熔盐体系阳极过程的电化学行为研究

Electrochemical investigation of the anode processes in LiF–NdF3 melt with low oxygen content

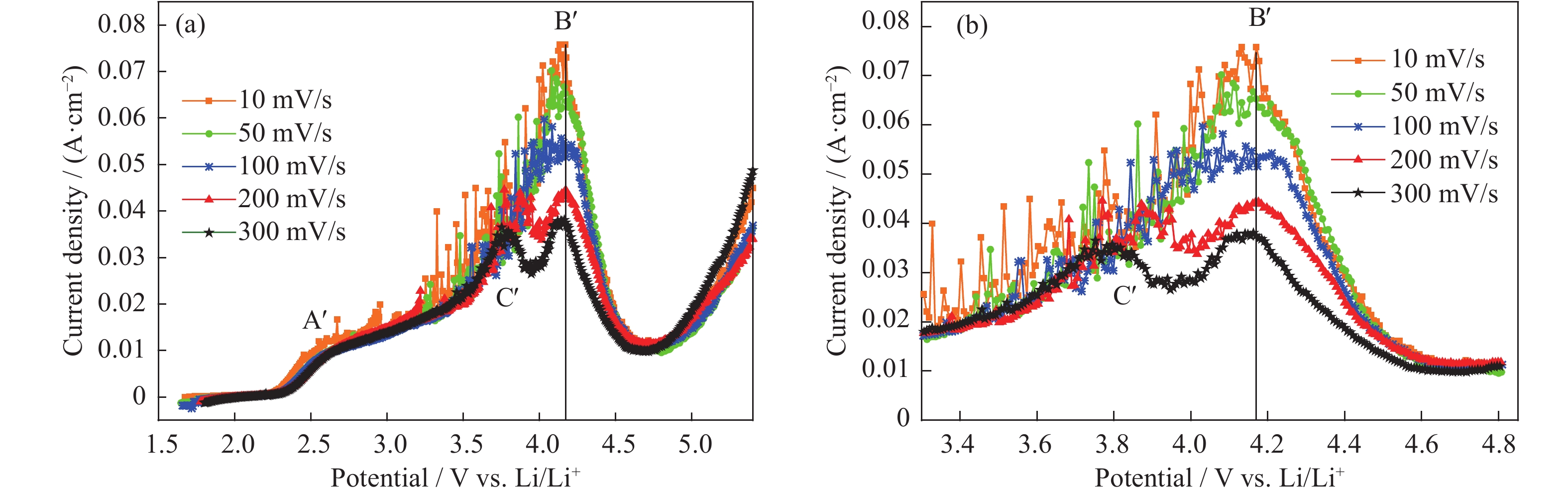
Abstract: The oxidation of oxygen ions and the generation of an anode effect at a low oxygen content of 150 mg/kg were discussed in this paper. Cyclic voltammetry and square-wave voltammetry tests were conducted to explore the anodic processes of LiF–NdF3 melt after a lengthy period of pre-electrolysis purification at 1000°C (during which the oxygen content reduced from 413 to 150 mg/kg). The oxidation process of oxygen ions was found to have two stages: oxidation product adsorption and CO/CO2 gas evolution. The adsorption stage was controlled by diffusion, whereas the gas evolution was controlled by the electrochemical reaction. In comparison with oxygen content of 413 mg/kg, the decrease in the amplitude of the current at low oxygen content of 150 mg/kg was much gentler during the forward scanning process when the anode effect occurred. Fluorine-ion oxidation peaks that occurred at about 4.2 V vs. Li/Li+ could be clearly observed in the reverse scanning processes, in which fluorine ions were oxidized and perfluorocarbons were produced, which resulted in an anode effect.

 

/

返回文章
返回