Effect of titanium on the sticking of pellets based on hydrogen metallurgy shaft furnace: Behavior analysis and mechanism evolution
 
                 
                
                    
                                        
                    - 
Graphical Abstract
 
- 
Abstract
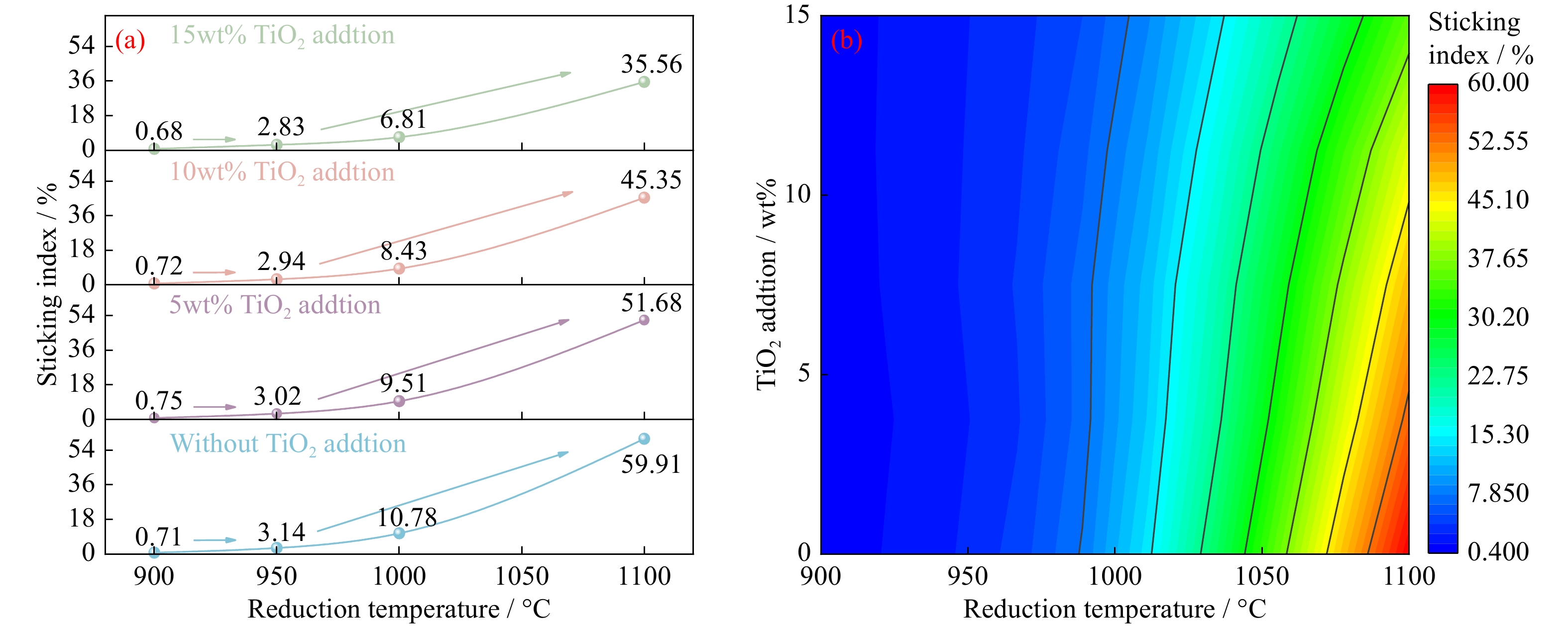
    Direct reduction based on hydrogen metallurgical gas-based shaft furnace is a promising technology for the efficient and low-carbon smelting of vanadium–titanium magnetite. However, in this process, the sticking of pellets occurs due to the aggregation of metallic iron between the contact surfaces of adjacent pellets and has a serious negative effect on the continuous operation. This paper presents a detailed experimental study of the effect of TiO2 on the sticking behavior of pellets during direct reduction under different conditions. Results showed that the sticking index (SI) decreased linearly with the increasing TiO2 addition. This phenomenon can be attributed to the increase in unreduced FeTiO3 during reduction, leading to a decrease in the number and strength of metallic iron interconnections at the sticking interface. When the TiO2 addition amount was raised from 0 to 15wt% at 1100°C, the SI also increased from 0.71% to 59.91%. The connection of the slag phase could be attributed to the sticking at a low reduction temperature, corresponding to the low sticking strength. Moreover, the interconnection of metallic iron became the dominant factor, and the SI increased sharply with the increase in reduction temperature. TiO2 had a greater effect on SI at a high reduction temperature than at a low reduction temperature.
 
- 
                          
-